Para llevar a cabo el estudio se ha analizado la proporción de hombres y mujeres en los puestos más altos del staff médico y su grado de promoción profesional en los dos hospitales. Este tipo de ascenso viene regulado desde hace 10 años por un sistema de reconocimiento profesional que permite que los médicos contratados de forma fija puedan promocionarse de forma independiente a la jerárquica, que es la usual. Para optar a él se evalúa a los candidatos en base al trabajo clínico, la investigación y los méritos docentes.
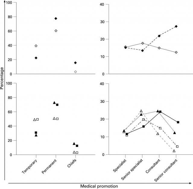
El análisis de los datos refleja que hay diferencias entre mujeres y hombres tanto en la ocupación de puestos temporales – 50% de mujeres con contrato temporal frente a un 22% de hombres en la misma situación -, como en los fijos. Debido a que para promocionar profesionalmente se requiere tener un contrato permanente, menos mujeres pueden optar a ella. Además, el estudio resalta que un 87% de los cargos de más peso en la jerarquía de los hospitales está ocupado por hombres y que los datos son casi idénticos en los dos centros. También se extrae del trabajo que, aunque la proporción de mujeres que se han contratado en los centros hospitalarios se ha incrementado en un 10% en los 4 años analizados en el estudio, las diferencias se mantuvieron constantes en ese periodo.
Así, los resultados, obtenidos de dos instituciones independientes, muestran diferencias significativas en las posiciones médicas ocupadas por hombres y mujeres y, probablemente, son representativos de otros hospitales en España y de Europa. Así mismo, se observa que el ascenso profesional de las doctoras es mucho más lento y tardío. Estos datos proporcionan un nuevo punto de vista para promover la equidad en la práctica de la medicina y que haya tanto hombres como mujeres en puestos de responsabilidad de la profesión médica.
Upper panel: sex distribution of medical doctors in both hospitals, the Hospital de la Santa Creu i Sant Pau and the Hospital Clínic de Barcelona, in 2006. Lower panel: sex distribution of medical doctors at the Hospital Clínic de Barcelona in 2002 (triangle) and in 2006 (square). Men are shown in black and women are shown in white.
