Per a dur a terme l’estudi s’ha analitzat la proporció d’homes i dones en els llocs més alts de l’staff mèdic i el seu grau de promoció professional en els dos hospitals. Aquest tipus de ascens ve regulat des de fa 10 anys per un sistema de reconeixement professional que permet que els metges contractats de forma fixa puguin promocionar-se de forma independent a la jeràrquica, que és la usual. Per tal d’optar-ne s’avalua als candidats en base al treball clínic, la recerca i els mèrits docents.
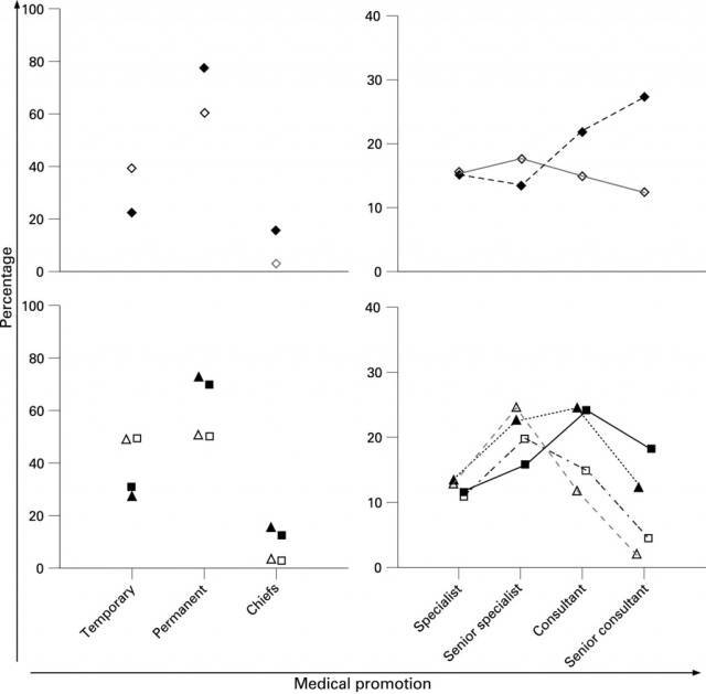
L’anàlisi de les dades reflecteix que hi han diferències entre dones i homes tant en la ocupació de llocs temporals – 50% de dones amb contracte temporal enfront un 22% d’homes en la mateixa situació -, com en els fixos. Degut a que per promocionar professionalment es requereix tenir un contracte permanent, menys dones poden optar a ella. A més, l’estudi ressalta que un 87% dels càrrecs de més pes a la jerarquia dels hospitals està ocupat per homes i que les dades són casi idèntiques en els dos centres. També s’extreu del treball que, encara que la proporció de dones que s’han contractat en els centres hospitalaris s’ha incrementat en un 10% en els 4 anys analitzats en l’estudi, les diferències es van mantenir constants en aquest període.
Així, els resultats, obtinguts de dos institucions independents, mostren diferències significatives en les posicions mèdiques ocupades per homes i dones i, probablement, són representatius d’altres hospitals a Espanya i d’Europa. Així mateix, s’observa que l’ascens professional de les doctores és molt més lent i tardà. Aquestes dades proporcionen un nou punt de vista per promoure la equitat a la pràctica de la medicina i que hi hagi tant homes com dones en llocs de responsabilitat de la professió mèdica.
Upper panel: sex distribution of medical doctors in both hospitals, the Hospital de la Santa Creu i Sant Pau and the Hospital Clínic de Barcelona, in 2006. Lower panel: sex distribution of medical doctors at the Hospital Clínic de Barcelona in 2002 (triangle) and in 2006 (square). Men are shown in black and women are shown in white.
